加密市场全面走低,通缩叙事如何驱动代币价值?
前几日,白宫首届加密峰会落下帷幕,而它带来的影响才刚刚开始......
BTC价格应声跌破8万美元。加密市场面临自LUNA崩盘以来的最大规模清算。投资者对风险的敏感度显著提升,资金加速流向具备抗跌属性的项目。与此同时,投资者对代币经济模型的审视愈加严格,一个关键问题浮现:是否存在一种能够抵御市场波动、穿越牛熊周期的代币模型?

来源:Bravos Research
通胀的诱惑与代价
大多数代币选择通胀模型并非偶然。通过增发,奖励开发者、社区和早期投资者,从而快速启动生态。然而,当市场情绪低迷时,流通量的膨胀叠加需求萎缩,容易导致价格进入下行螺旋。以太坊是一个典型的例子。其早期设计中未设定总供应量,导致长期通胀问题,引发用户的焦虑。直到EIP-1559提案引入销毁机制后,才有效缓解了抛压,这一机制对以太坊的经济模型及其市场表现产生了深远的影响。
但问题在于:如果通胀是启动生态的燃料,通缩能否成为对抗周期的刹车?
通缩的稀缺性逻辑
与以太坊的挣扎形成鲜明对比的是比特币的四年减半周期。每次减半后,新币产出速度减半,稀缺性推动价格进入上升通道——这一机制让比特币历经多次熊市仍保持通缩属性,成为加密市场唯一跨越周期的“数字黄金”。
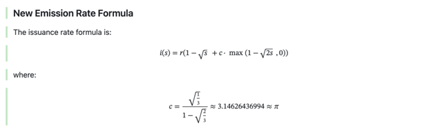
这一逻辑正在被更多项目借鉴。例如本轮周期大热的Solana生态,代币SOL开启的SIMD-0228提案投票,正是试图通过动态调整通胀率来平衡生态激励与价值存储。该提案由Multicoin Capital的Tushar Jain等人提出,核心机制是:当SOL质押率超过50%时减少发行量以抑制通胀,低于50%时则增加发行以激励质押。这种“弹性通胀”设计揭示了一个关键原则——通缩不是对通胀的全盘否定,而是与之动态博弈的制衡工具。

来源:SIMD-0228提案
即使市场低迷时期,许多项目的代币持有者数量不减反增,也许这就是通缩代币模型在面对下行行情时最有效的证明。

通缩机制的三重价值
在当前的逆周期环境中,通缩机制的价值愈发凸显,其突破口在于三个层面:
首先,稀缺性溢价。当流通量增速低于需求增速时,代币价值自然上升。
其次,抗通胀属性。在法币超发与监管冲击下,通缩代币成为资金避风港。
最后,社区共识强化。面向社区的透明销毁行为,传递出项目方长期承诺,吸引价值投资者而非短期投机者。
但要实现这些价值,需要具体的工具支撑。当前主流通缩机制包括:
代币销毁:是将部分流通代币转入黑洞地址,比如BONK的链上每日销毁。
质押锁仓:通过收益激励长期持有,比如Solana的质押率动态调整机制SIMD-0228提案。
生态消耗:是将代币作为Gas费或抵押品,形成使用即销毁的正循环。
通缩设计的微观样本
$BONK市值表现保持相对稳定,笔者研究发现其具备多层次通缩模型。该模型的核心是链上透明的销毁机制,包括生态交互自动销毁,事件驱动的大规模销毁,在整个震荡的市场中持续减少自身流通量,实现通缩经济。一定程度上实现了“跟涨不跟跌”
每日销毁机制接入了Bonk的所有生态应用,销毁量持续增加。此外,BONK社区还会定期发起事件驱动的大规模销毁活动,例如去年12月圣诞节的“BURNmas”计划,销毁1.69 万亿枚BONK(约合5452 万美元),占 BONK 总供应量(约 92.7 万亿枚)的近 1.8%;今年2月,再次销毁2.025 万亿枚BONK(约合3695.6 万美元)。这些销毁措施不仅增强了投资者信心,也通过减少抛压为价格提供了支撑。


来源:Solscan
这些措施产生了三重效应:
首先是稀缺性重构。随着流通中的Token供应量减少,对其价值的认知增加,这可能会对代币的价格产生上行压力。
其次是建立社区信任:销毁代币也向社区发出积极信号。它表明项目治理致力于代币的长期增长和可持续性,让社区看到“真金白银”的承诺。
第三是指数增长的可能性:由于持续销毁带来的价格低迷,使Token有更大的增长空间。对于寻求高风险投资但具有高回报潜力的交易者来说,这是一个有吸引力的点。

在高波动的市场环境下,代币经济学的价值逐渐开始显现,它不再是白皮书里的抽象公式,而是决定项目生死的生存技能。用销毁对抗通胀,SOL借SIMD提案平衡质押与稀缺性时,我们看到通缩机制正从可选策略变为生存刚需。在加密市场的一些时刻,代币经济模型的设计比营销叙事更能决定生死。
【星空财经版权及免责声明】本站所发布的文章,版权归原作者所有,如有侵权,请联系我们,我们将及时删除!本站所发布的文章,均出于传递行业信息为目的,不代表星空财经立场!本站所发布的文章,不构成任何投资建议,投资有风险,入市须谨慎!谨防ICO,变相ICO!

